Single-slit diffraction

PrintPrint

Nature of science:

Development of theories: When light passes through an aperture the summation of all parts of the wave leads to an intensity pattern that is far removed from the geometrical shadow that simple theory predicts. (1.9)

Understandings:
  • The nature of single-slit diffraction

Applications and skills:

  • Describing the effect of slit width on the diffraction pattern
  • Determining the position of first interference minimum
  • Qualitatively describing single-slit diffraction patterns produced from white light and from a range of monochromatic light frequencies

Guidance:

  • Only rectangular slits need to be considered
  • Diffraction around an object (rather than through a slit) does not need to be considered in this sub-topic (see Physics sub-topic 4.4)
Theory of knowledge:
  • Are explanations in science different from explanations in other areas of knowledge such as history?

Utilization:

  • X-ray diffraction is an important tool of the crystallographer and the material scientist

Aims:

  • Aim 2: this topic provides a body of knowledge that characterizes the way that science is subject to modification with time
  • Aim 6: experiments can be combined with those from sub-topics 4.4 and 9.3
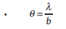
  • Students will be expected to be aware of the approximate ratios of successive intensity maxima for single-slit interference patterns
  • Calculations will be limited to a determination of the position of the first minimum for single-slit interference patterns using the approximation equation

Data booklet reference:

 

Previous page | Next page